Essential English Grammar Supplementary Exercises With Answers Pdf are an important resource for understanding, arranging, and innovative activities. Whether you're an educator, moms and dad, or student, these ready-to-use sources save time and effort. From instructional worksheets for math, science, and grammar to innovative templates like planners, calendars, and coloring pages, there's something for every person. With the comfort of printable formats, discovering and efficiency can be enhanced in your home or in the class.
Explore a wide variety of customizable styles that accommodate various demands and ages. These templates make finding out interactive and fun while promoting imagination. Download and install, print, and begin utilizing them today!
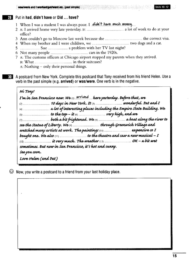
Essential English Grammar Supplementary Exercises With Answers Pdf

Essential English Grammar Supplementary Exercises With Answers Pdf
Here s a lovely pack of 24 no prep differentiated math worksheets to help your class practice writing number sequence in order past 100 Missing Numbers – 1 to 50 – Eight Worksheets / FREE Printable Worksheets. KINDERGARTEN WORKSHEETS PRESCHOOL WORKSHEETS Numbers – Missing Numbers ...
Missing Numbers 1 100 FREE Printable Worksheets Worksheetfun

English Grammar Tenses Review Worksheets
Essential English Grammar Supplementary Exercises With Answers PdfThese fill in the blank digital number charts are a fun way for kids to practice reading numbers and putting them in the correct order. Counting by ones within 1 50 In these counting worksheets students fill in the missing numbers between 1 and 50
Use these 2 free fill in the missing numbers 1-50 worksheet as a way to complement learning to count and number recognition. It gives the child the ... Essential Grammar In Use Supplementary Exercises 4th Edition Pdf Fadte Map Directions Worksheet
Missing Number Worksheets Pinterest

Essential Grammar In Use
Check out our missing number worksheet selection for the very best in unique or custom handmade pieces from our learning school shops Articles Exercises With Answers Pdf
Fill in the missing numbers 1 50 free printable worksheet Use these 2 free fill in the missing numbers 1 50 worksheet as a way to complement learning to count English Grammar In Use Supplementary Exercises Without English Grammar In Use 5th Edition Cambridge University Intermediate

Advanced Grammar Exercises With Answers

English Course Essential Grammar In Use Supplementary Exercises PDF

English Grammar In Use Supplementary Exercises With Keys
English Grammar In Use Supplementary Exercises PDF
Essential Grammar In Use Supplementary Exercises Without The Answer Key

Kniha Essential Grammar In Use Supplementary Exercises With Answers

Essential English Grammar By Raymond Murphy Lasopaprofits

Articles Exercises With Answers Pdf
Essential Grammar In Use Supplementary Exercises PREPOSITIONS PDF

Articles Worksheet For Grade 4 With Answers Pdf Free Infoupdate