7 1 Tax Tables Worksheets And Schedules Answer Key are an essential source for knowing, arranging, and imaginative tasks. Whether you're an educator, parent, or trainee, these ready-to-use resources save time and effort. From academic worksheets for math, science, and grammar to innovative templates like planners, calendars, and coloring web pages, there's something for everyone. With the ease of printable layouts, discovering and productivity can be enhanced in the house or in the class.
Discover a wide variety of personalized layouts that accommodate numerous requirements and ages. These templates make discovering interactive and fun while promoting creativity. Download and install, print, and start using them today!
7 1 Tax Tables Worksheets And Schedules Answer Key

7 1 Tax Tables Worksheets And Schedules Answer Key
This module will address issues dealing with the energy from the sun the energy needs of students in the classroom and ultimately our energy needs as a nation Students will use a Objectives: To learn about solar energy by reading the background information. To practice reading a thermometer with Fahrenheit and Celsius scales. To practice conversions between.
Smart Solar Worksheet Mayfieldschools

Tax Tables Worksheets And Schedules Cabinets Matttroy
7 1 Tax Tables Worksheets And Schedules Answer KeyThis worksheet will help you evaluate the solar energy available at any location in the United States at a given time of year. 1) Find the solar resource map that corresponds to your month. Exploring Solar Energy Student Guide Seven Activities Grades 5 8 Topic Solar Owner NEED This educational material is brought to you by the U S Department of Energy s Office of
[desc_9] Tax Tables Worksheets And Schedules Cabinets Matttroy Tax Tables Worksheets And Schedules Cabinets Matttroy
Exploring Solar Energy Teacher Guide
![]()
MAT4175 midterm 22 solutions MAT4175 Studocu
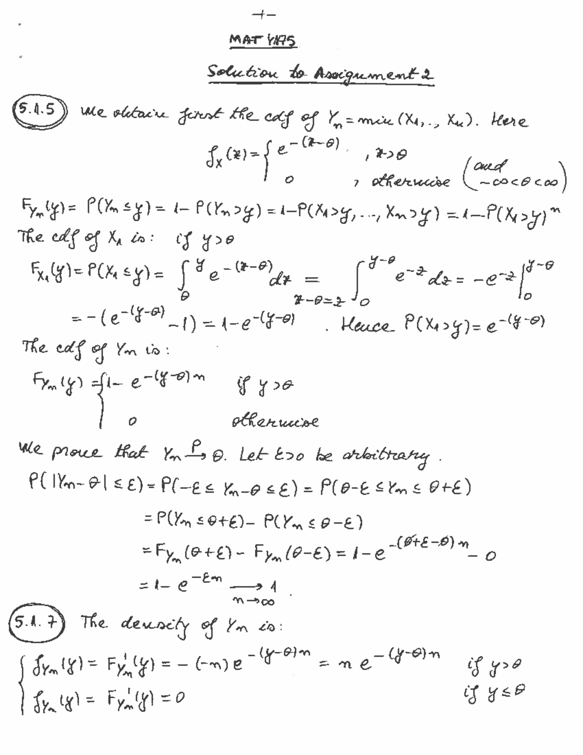
[desc-8] 4175 assign 2 solutions MAT4175 Studocu
Solar energy is the sun s rays solar radiation that reach the Earth This energy can be converted into other forms of energy such as heat and electricity Radiant energy from the sun has 6 1 Tax Tables Worksheets And Schedules Answers Printable Word Searches Reading Comprehension Worksheets 5Th Grade Multiple Choice Db excel

Tax Tables Worksheets And Schedules 7 1 Free Printable

Comparing Linear Quadratic And Exponential Worksheet From A Table
![]()
Lesson 7 1 Worksheet Tax Tables Worksheets 7 And Schedules Schedule

7082126 Times Table Practice Mixed 1 12 MontJill
Tax Tables Worksheets And Schedules Cabinets Matttroy
:max_bytes(150000):strip_icc()/2022TaxTableExample-a04b9e0f21ae4f0080ae5017bba3cb7f.png)
Tax Tables Worksheets And Schedules Cabinets Matttroy

State Of Mn Tax Forms
![]()
4175 assign 2 solutions MAT4175 Studocu
![]()
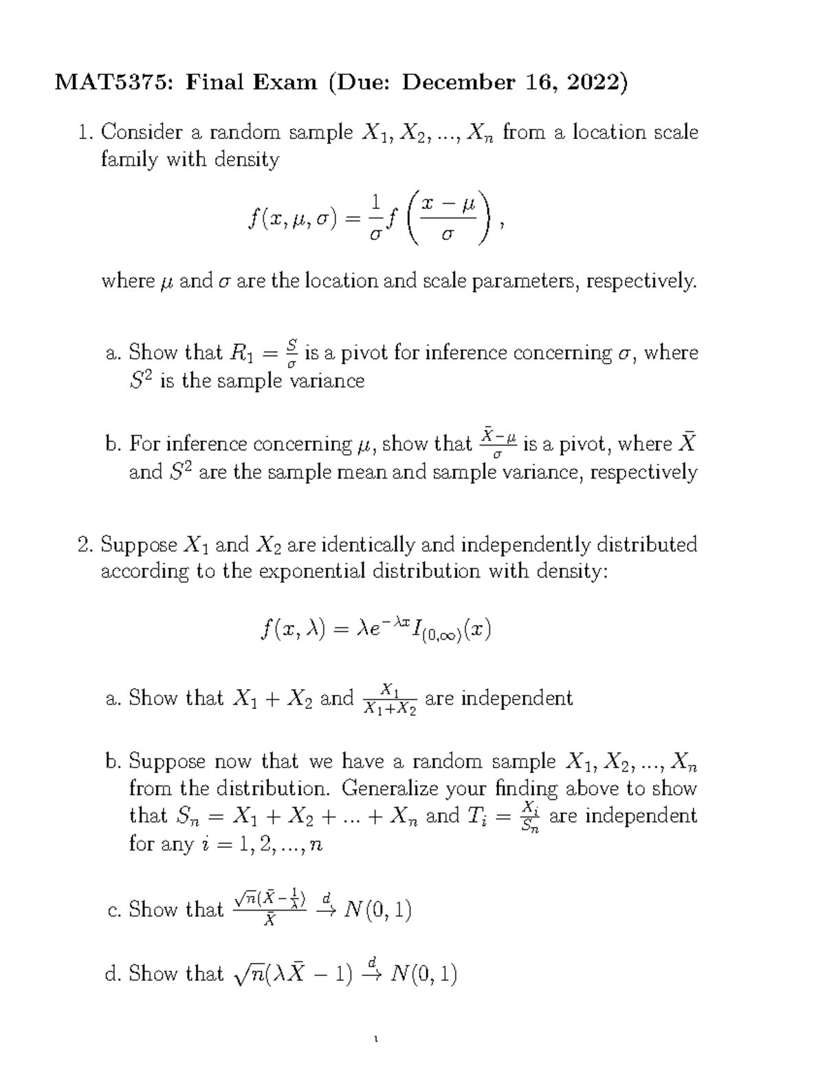
MAT5375 Final Exam 2022 MAT5375 Final Exam Due December 16 2022

Financial Algebra 9 28 late Post AHS Math