Naplan 2012 Year 3 Answers are a necessary resource for understanding, arranging, and creative activities. Whether you're an instructor, moms and dad, or trainee, these ready-to-use resources conserve effort and time. From instructional worksheets for math, science, and grammar to imaginative templates like planners, calendars, and coloring pages, there's something for everybody. With the comfort of printable layouts, discovering and productivity can be boosted in the house or in the class.
Discover a large range of adjustable designs that accommodate numerous requirements and ages. These templates make learning interactive and fun while promoting creative thinking. Download and install, print, and start using them today!
Naplan 2012 Year 3 Answers
Naplan 2012 Year 3 Answers
We provide 26 sets A Z of tracing letter worksheets with both upper case and lower case letters that will help your kids build their penmanship skills Download Alphabet and Letters Tracing worksheets and printables Kids educational preschool, kindergarten and grade school for kids.
CreatePrintables Home Page

Year 3 NAPLAN Printable Worksheets Online Practice Online Tests And
Naplan 2012 Year 3 AnswersUse this collection of tracing worksheets to introduce your students and kids to the alphabet and how to print the letters from a to z. Kids can trace a picture color it in and trace an uppercase and lowercase letter on each page Practice writing and drawing skills at
Download free letter a tracing worksheet for preschool, pre-k or kindergarten class. There are two layouts available, with lines and free form tracing with ... NAPLAN Answers Bundle Numeracy Year 3 Subject Pronouns Pronoun Worksheets Nouns And Pronouns English
Free Printable Worksheets for Kids Alphabet and Letters

Decimal Number Line Printable
Letter Tracing Worksheets For Kindergarten Capital Letters Alphabet Tracing 26 Worksheets Comment Tracing Uppercase Letters Capital Letters 3 NAPLAN Narrative On Butterfly Wings English
Fun tracing worksheets for each letter of the alphabet and A Z on 1 page Choose from uppercase lowercase mixed and half tracing half independent Excel NAPLAN Style Literacy Test Year 3 Pascal Press Naplan 2012 Final Test Reading Year 7 PDF World Heritage Site

NAPLAN Online MiniTest Answers Reading Year 3
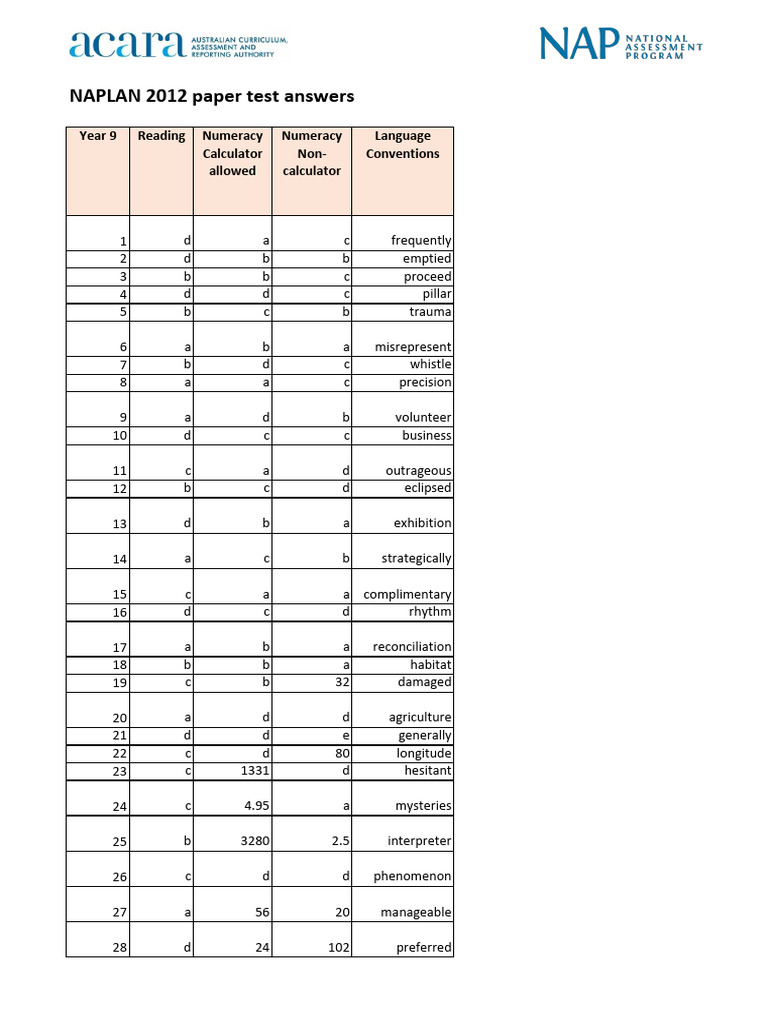
NAPLAN 2012 Year 9 Test Answers PDF Standardized Tests Tests
2012 NAPLAN Test PDF Honey Honey Bee
Naplan 2012 Final Test Reading Magazine Year 3 PDF Bees Honey

NAPLAN 2025 Trial Tests And Detailed Answers 2012 NAPLAN Dates

NAPLAN Practice Tests Online Tutoring 2025 Kinetic Education

Answers To ACARA NAPLAN Tests Kilbaha Education

NAPLAN Narrative On Butterfly Wings English

2012 NAPLAN Year 9 Non Calculator Solutions Year 9 Maths MaffsGuru

Naplan Worksheet Live Worksheets