2014 Year 5 Naplan Reading Answers are an essential resource for learning, organizing, and imaginative activities. Whether you're a teacher, moms and dad, or pupil, these ready-to-use resources save effort and time. From instructional worksheets for math, scientific research, and grammar to creative templates like planners, calendars, and coloring pages, there's something for everyone. With the comfort of printable styles, finding out and productivity can be improved at home or in the class.
Explore a large range of adjustable layouts that cater to different needs and ages. These templates make discovering interactive and enjoyable while promoting imagination. Download and install, print, and start using them today!
2014 Year 5 Naplan Reading Answers
2014 Year 5 Naplan Reading Answers
We look at what Emotionally Focused Therapy is and include techniques and worksheets for you to use Before you continue we thought you might like to download our three Emotional Intelligence Exercises for free In the following document, therapists and clients can work through very particular 'raw spots' with couples. Here, we are able to identify heightened moments of emotional distress that are unresolved, and therapists can help process within EFT sessions.
Downloads Dr Sue Johnson
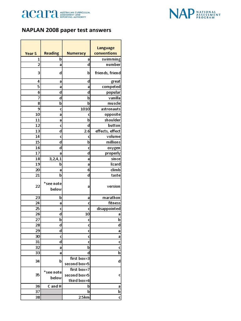
NAPLAN 2008 Paper Test Answers Year 5 Reading Numeracy Language
2014 Year 5 Naplan Reading AnswersSession One: Steps 1-2 of EFT – Alliance and Assessment 1. To have an increased knowledge base of Steps 1 and 2 of EFT. 2. To build the therapeutic alliance through empathic attunement. 3. To identify and repair ruptures in the therapeutic alliance. 4. To assess the appropriateness of using EFT for couples presenting for treatment. 5. Forms and Handouts for Couples 1 What is EFT Explanation of goals of treatment By Pat LaDouceur 2 Informed Consent 2012 Video Tape Consent is in this document 3 Couples Questionnaire 4 Couples Screening Form Doug Tilley This is a self reporting questionnaire about can you buy fioricet online each person and their partner
Set goals for counseling; understand some of the ways your relationship history affects your relationship now. You and your therapist will track your interactions with your partner and identify where and how your communication breaks down. NAPLAN Practice Tests Online Tutoring 2025 Kinetic Education Naplan Language Conventions Practice Tests Year 3 Daily Worksheets
Worksheets Cultivate Connection

Essential NAPLAN Reading And Comprehension Year 5 North Shore Shop
Improve your relationship with free couples therapy worksheets Download exercises on communication intimacy conflict resolution and more NAPLAN Narrative On Butterfly Wings English
Below are two worksheets to help couples become familiar and map out their negative cycle s One of the first tasks of a therapist is to determine the cycle of negative interactions of a couple which is conceptualized as a pursue withdraw pattern in EFT NAPLAN Persuasive On Butterfly Wings English Persuasive Speech Template Prntbl concejomunicipaldechinu gov co

NAPLAN Numeracy Year 5 ACARA Problems Solved YouTube

Grade 5 T1W5 Free Interactive Worksheets 3669977

Grade 5 Archives Mathful Learners

Naplan Brands BIG W

Year 5 NAPLAN Preparation Online Practice Questions Tests

Understanding NAPLAN Results

Excel NAPLAN style Numeracy Tests Year 5 LJ Harper

NAPLAN Narrative On Butterfly Wings English

Year 5 Reading Comprehension Worksheets

Answers To ACARA NAPLAN Tests Kilbaha Education